日前,基于钛酸锂的功率型动力锂电池因其快充特性好,特别是董明珠携手王健林投资了钛酸锂电池以后,得到众多资本关注。但是钛酸锂电池的能量密度偏低,无法满足我国新能源汽车发展需要,钛酸锂电池的工业化应用目前仍面临一系列挑战。最近,上海交通大学马紫峰教授与其博士后袁涛等人对钛酸锂电池在锂离子电池工业应用中存在的问题进行全面综述,以“Challenges of Spinel Li4Ti5O12 for Lithium-Ion Battery Industrial Applications”为题,发表在Advanced Energy Materials上。
钛酸锂电池存在的主要挑战主要包括,如何提高钛酸锂的电子电导率及其快速充电响应、如何进一步提高钛酸锂电极的理论容量、如何解决钛酸锂界面化学引发的胀气问题,以及如何优化设计全电池以实现钛酸锂的优势等。作者综述了近三年钛酸锂负极材料的相关文献,针对上述应用的挑战提出了性能优化策略、反应界面的稳定性和全电池设计的观点和建议,为今后钛酸锂电池的研究和工业发展指出了方向。
在钛酸锂电极的性能优化策略中,从碳修饰、形貌控制、元素掺杂、杂质相复合、电池过放(放电电位接近0V)这五个方面进行阐述。对于碳修饰改性,分析了无机碳源和有机碳源对钛酸锂改性的不同影响(图1),虽然无机碳源通常具有较高的电子电导率,但是需要先进的碳源(碳纳米管或石墨烯等)以及合适的制备方法保证其与钛酸锂分散均匀,否则不仅不能有效提高钛酸锂的高倍率性能,还可能造成电极表面电流分布不均衡,而产生更严重的安全问题。有机碳源虽然能够更加均匀地包覆在钛酸锂颗粒表面,但是仍需要对其裂解后得到的碳电导率及其成本价格进行合理选择。对于形貌控制,纳米级的钛酸锂材料无疑表现出更好的倍率性能,但是考虑到工业化高振实密度的要求,认为一次粒径纳米级、二次粒径微米级的多层级近球形结构是最佳形貌。合理的元素掺杂和杂质相复合可以改变Li原子在晶格中的位置以及Ti元素的价态进而提高钛酸锂的倍率性能。有一些掺杂还可以提高钛酸锂的理论容量,例如较大半径的离子(Na+、K+、Gd3+、Zr4+、Ta5+、V5+等)掺杂在Li位和Ti位,可以通过扩大晶胞系数而容纳更多的Li。另外,把钛酸锂的放电截止电位从1V下降到0V,也可以使其理论容量从175mAh/g增加到250mAh/g,但是会牺牲钛酸锂优良的循环性能。作者在文中举例并提出,多种优化策略的协同作用能够更好的提高钛酸锂电池的理论容量和倍率性能。

图1 无机碳源和有机碳源制备碳包覆钛酸锂复合材料对比示意图
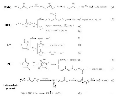
事实上,限制钛酸锂电池工业化应用最主要的问题是钛酸锂电池在充放电过程甚至存储过程中,产生大量气体(如CO2、H2、CO等),从而引发电池鼓胀的问题。作者详细总结并分析了钛酸锂电极与各种电解质成分(DMC、DEC、EC、PC等)的界面反应和每一种气体产生的原因(图2),同时提出了胀气问题的解决方案。钛酸锂表面均匀的包覆层、电解质中添加高电位的成膜添加剂等都是隔绝钛酸锂与电解液直接接触的有效手段。另外,电极中的水分是胀气的引发剂,有效控制电池中水分含量也是钛酸锂电池工业操作中特别需要注意的。
a) PCO的合成示意图;b) PCO的XRD图谱;c) PCO的SEM表征;d-e) PCO纳米片的AFM表征。

图2 钛酸锂电池中各种电解质溶剂的分解机理



